Branching Processes
Last update: 08 Mar 2026 00:07First version: 13 April 2007 (if not before); major expansions, October 2024
\[ \newcommand{\Expect}[1]{\mathbb{E}\left[ #1 \right]} \newcommand{\Prob}[1]{\mathbb{P} \left( #1 \right)} \]
A class of stochastic process important as models in genetics and population biology, chemical kinetics, physics, and filtering. The basic idea is that there are a number of objects, often called particles, which, in some random fashion, reproduce ("branch") and die out; they can be of multiple types and occupy differing spatial locations. They can pursue their trajectories and their biographies either independently, or with some kind of statistical dependence across particles.
The most basic version has one type of particle, and no spatial considerations. At each time step, each parrticle gives rise to a random number of offspring; the distribution of offspring is fixed, and the number is independent across time-steps and across lineages (IID). This is the so-called Galton-Watson branching process. Galton introduced it as a model of the survival of (patrilneal) family names, so that only male offspring counted; he required the distribution of time until a given lineage went extinct. This was provided almost immediately by Watson, in a very elegant use of the method of generating functions, which is, itself, reproduced in probability textbooks down to the present day. (However, when I first encoutnered the problem, in a probability class, the teacher presented it as one about the survival of matrilineal lineages, defined by inheritance of mitochondrial DNA. Whether this was conscious subversion of the patriarchy, or just a reflection of the changing scientific interests between the 1890s and the 1990s, I couldn't say.)
Beyond the cases of family lineages (which have obvious biological
applications), branching processes show up as tools, representations or
approximations in lots of areas of math and of science, including
one that may yet doom us
all explains why a bunch of the classic studies were funded by the US
military.
Sketch of the Galton-Watson Argument, Because It Is So Pretty
Time proceeds in discrete generations. In generation $t$, there are $ X_t $ organisms. Each organism leaves a random number of offspring before expiring itself, say $ Y_{it} $ for t he number of offspring for organism $i$ at time $t$. Thus \[ X_{t+1} = \sum_{i=1}^{X_t}{Y_{it}} \] assuming, of course, that $ X_t > 0 $. (If $ X_t=0 $ then so is $ X_{t+1} $; extinction is forever.) The random offspring numbers $ Y_{it} $ are drawn independently from an (unchanging) distribution $p$, so $p(k)$ is the probability that an individual has $k$ offspring, $\sum_{k=0}^{\infty}{p(k)} = 1$, $p(k) \geq 0$.
It's worth noticing two (related) things about this process at this point:
- If we restrict ourselves to the descendants of any given organism in any given generation, we have a new branching process, following exactly the same distribution of offspring $p$ as the original process.
- The process $ X_t $ is Markovian: all that matters is the size of the current population, not the history which brought it to that state.
Introduce the abbreviations $\rho=p(0)$ and $\mu=\sum_{k=0}^{\infty}{kp(k)}$, for the probability of leaving no offspring, and for the mean number of offspring. Clearly, $\rho > 0$ is a necessary condition for extinction, and $\mu < 1$ is a sufficient condition for $\rho > 0$. If we ignored random fluctuations and just blindly took averages, we'd anticipate $ X_t = X_0 \mu^t $, which would suggest that $ \mu < 1 $ implies eventual extinction. This turns out to be true!
Inspired by observation (1) above, let's stick to the case where $ X_0=1 $, i.e., the population starts with a single founder. Let's say that $ \alpha_d $ is the probability that this branching process persists for $\leq d$ generations before going extinct. What we really care about is $ \alpha_{\infty} $, the probability that the process dies out at some time. Notice however that the event "the process persists for $\leq d$ generations before going extinct" includes, as a proper subset, the event "the process persists for $\leq d-1$ generations before going extinct", so $ \alpha_{d} \geq \alpha_{d-1} $. So the $ \alpha_d $s are a non-decreasing sequence; being probabilities, they are also all bounded above by $1$. Thus the limit $ \lim_{d\uparrow\infty}{\alpha_d} $ is well-defined and equals the $ \alpha_{\infty} $ we want. So let us try to get a handle on $ \alpha_d $, and how it grows with $d$.
There are two, mutually exclusive, possibilities for "persisting for $\leq d$ generations before going extinct":
- The initial organism has no offspring, or
- The initial organism does have offspring, but none of them initiate a branching process that lasts even $d-1$ generations.
The probability of the first event is $\rho$. Given that the founder left $ X_1>0 $ descendants, the probability of the second event is $ \alpha_{d-1}^{X_1} $, because each of the descendants starts an independent branching process (observation (1) above). Thus we have \[ \alpha_d = \rho + \sum_{k=1}^{\infty}{p(k) \alpha_{d-1}^{k}} \] This suggests a recursion for the extinction-by-generation-$d$ probabilities, which we could write as follows: \[ \begin{eqnarray*} \alpha_d & = & f(\alpha_{d-1})\\ f(x) & = & \rho + \sum_{k=1}^{\infty}{p(k) x^k}\\ \alpha_1 & = & \rho \end{eqnarray*} \]
We can therefore find $ \alpha_{\infty} $ by starting with $ \alpha_1 = \rho $ and iterating: $\alpha_2 = f(\rho)$, $\alpha_3 = f(f(\rho))$, etc. It is easy to check (exercise!) that $f(1)=1$. If $f^{\prime}(1) \leq 1$, this fixed point is stable, so the iteration will converge to it, and the branching process will die out eventually with probability 1. If, on the other hand, $f^{\prime}(1) > 1$, then that fixed point is unstable, and the iteration will converge to the other fixed point, leaving a finite probability of surviving forever. What's that derivative? \[ \begin{eqnarray} f^{\prime}(x) & = & \sum_{k=1}^{\infty}{k p(k) x^{k-1}}\\ f^{\prime}(1) & = & \sum_{k=1}^{\infty}{k p(k)} = \mu \end{eqnarray} \] Thus the branching process is doomed to eventual extinction exactly when $\mu \leq 1$, as promised; if $\mu >1$, it has some probability of surviving forever, which can be found by solving $f(x^*) = x^*$.
Some after-notes:
- The case $\mu < 1$ is called sub-critical; the case $\mu > 1$ is super-critical; the case where $\mu=1$ is, naturally, critical.
- Let us come back to expected population sizes. If we condition on the whole past, $\Expect{X_{t+1}|X_t, X_{t-1}, \ldots X_0} = \Expect{X_{t+1}|X_t}$ (by the Markov property), and $\Expect{X_{t+1}|X_t} = \mu X_t$ (by independence). Using the law of total expectation repeatedly, then, we can indeed get $ \Expect{X_t|X_0} = \mu^t X_0 $. But now we know that even if $\mu > 1$, there is still some probability of extinction, so to compensate, $ \Expect{X_t|X_t > 0} > \mu^t X_0 $.
- I hope I have fulfilled my promise that it is enough to analyze the $ X_0 = 1 $ case: if the initial population size is greater than 1, then either all the chains go extinct almost certainly (if $\mu \leq 1$), or the probability of at least one chain surviving forever is easily found from the single-founder case.
- Some probabilists, who like to be careful about making sure that all the random variables invoked are well-defined on the same probability space, are a bit unhappy about writing things like $ X_{t+1} = \sum_{i=1}^{X_t}{Y_{it}} $. They'd prefer to say that $ Y_{it} $ are all IID for $t \in 1:\infty$ and $i \in 1:\infty$ and write $ X_{t+1} = \sum_{i=1}^{\infty}{Y_{it} \mathbf{1}(i \leq X_t)} $. (IIRC, the first place I encountered such a scruple was Pollard's User's Guide to Measure-Theoretic Probability.) This does nothing to change the argument here.
- Why did I say that Watson's solution to Galton's problem involved generating functions, when I never talked about generating functions above? Well, that probability generating function would be $G(x) = \sum_{k=0}^{\infty}{p(k) x^k} = \rho + \sum_{k=1}^{\infty}{p(k) x^k}$, i.e., it's what I called $f(x)$ above! The way I presented it seems more "physical", since it's just enumerating possibilities and adding up their probabilities, and not magic with an opaque function that somehow encodes a whole distribution in its derivatives, but the two are basically the same...
- One might hope for a more direct approach, of calculating the probability $\beta_{t}$ of going extinct in generation $t$. Conditional on having survived to generation $t$, and having population size $ X_{t}=x $, this is just $\rho^x$. But now we need the distribution of population sizes conditional on having survived, which is going to be more than a bit of a mess. The recursive approach above is actually simpler, once someone has shown you the trick.
Some Illustrations

"Family trees" of branching processes, with a Poisson distribution of descendants, with (from left to right) $ \mu = 0.9 $, $ \mu = 1.0 $ and $ \mu = 2.0 $. Each row shows a different, independent realization of the same process, to give a sense of variability. (The dots are cases where the process went extinct after the first generation.) R code.

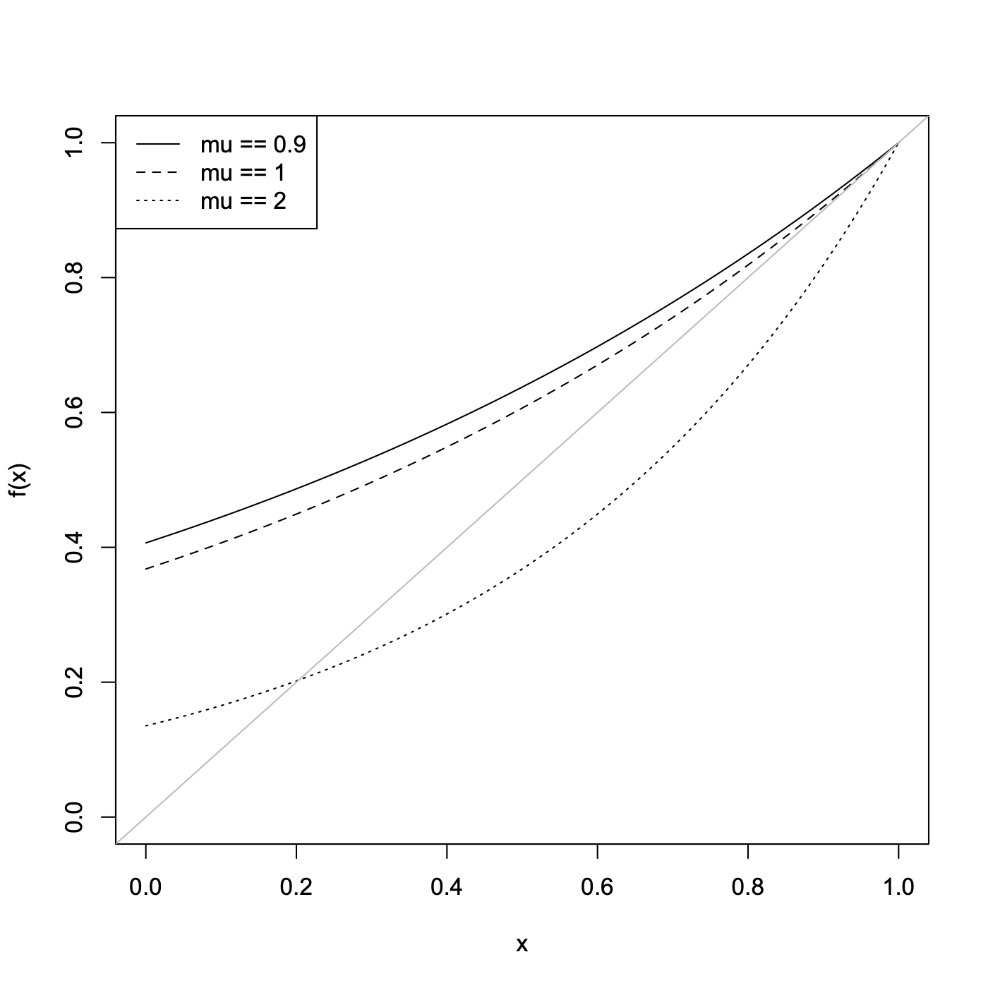
The function $ f(x) $. To use these curves to compute the sequence $ \alpha_d $, start at $ \alpha_1 = \rho $ on the horizontal axis, draw a vertical line to the $ f(x) $ curve, getting $ \alpha_2 $,then a horizontal line to the diagonal (in grey), then a vertical line to the curve again (getting $ \alpha_3 $), and so on. This has to converge to a fixed point, where the curve intersects the diagonal. Exercise: draw these lines for the cases shown.
I will leave as a further exercise to modify the code, and the function $f(x)$, to handle the situation where a node has 0 offspring with probability $\rho$, and (say) 10 offspring with probability $1-\rho$, and compare the results, matching first $\mu$ and then $\rho$ to my Poisson illustrations.
Statistical Inference for Galton-Watson
If we get to observe how many offspring each particle has in each distribution, what I called \( Y_{it} \) above, then statistical inference for the offspring distribution $p$ is easy: each \( Y_{it} \) is an IID sample from $p$, so we can use our favorite technique, parametric or non-parametric as appropriate, for learning distributions from IID data.
If we only get to observe the total population sizes, \( X_t \), then things are suddenly much trickier. As I mentioned, \( X_t \) is a Markov process, so the general theory of statistical inference for Markov processes applies. In particular, the elements of the transition matrix \( \tau_{mn} \equiv \Prob{X_{t+1}=m|X_t=n} \) will dictate the likelihood function, and those elements are in turn dictated by the distribution $p$. Specifically, the probability that the next population size is $m$ when the current population size is $n$ is the probability that $n$ draws from $p$ will add up to $m$: \[ \tau_{mn} = \sum_{y_1, y_2, \ldots y_{n-1}}{\left(\prod_{i=1}^{n-1}{p(y_i)}\right) p(m - \sum_{i=1}^{n-1}{y_i})} \] (with the understanding that $p(k)$ is 0 for negative $k$). This is (basically) convolving $p$ with itself $n$ times. You can imagine how this might get computationally involved.
The form of this distribution also leads to a curious identifiability issue. The central limit theorem tells us that the sum of $n$ IID random variables, each with mean $\mu$ and variance $\sigma^2$, tends towards a Gaussian, $\mathcal{N}(n\mu, n\sigma^2)$. (If you find that an unacceptably sloppy statement of the CLT, you know enough to make the necessary elaborations to what follows.) So for large $n$, \( X_{t+1}|X_t=n \approx \mathcal{N}(n\mu, n\sigma^2) \), regardless of the underlying distribution $p$. When the branching process does not go extinct but grows exponentially, it becomes hard to use the total population size to learn more than the first two moments of the offspring distribution. Because the distribution of \( X_{t+1} \) given \( X_t \) is not exactly Gaussian, some information from $p$ does carry through, especially in the tails. So we do not quite have partial identification in the technical sense, but we do have an interesting, and very real, difficulty when it comes to estimating a key aspect of the model.
- See also:
- Compartment Models
- Graph Theory
- Epidemic Models
- Evolutionary Biology
- Interacting Particle Systems
- Point Processes
- Social Contagion
- Recommended (introductory):
- Geoffrey Grimmett and David Stirzaker, Probability and Random Processes [This is my favorite probability textbook, and returns to branching processes in many places.]
- Peter Guttorp, Stochastic Models of Scientific Data [see especially section 2.11]
- Recommended (forbiddingly technical):
- P. Del Moral and L. Miclo, "Branching and Interacting Particle Systems Approximations of Feynman-Kac Formulae with Applications to Nonlinear Filtering", in J. Azema, M. Emery, M. Ledoux and M. Yor (eds)., Semainaire de Probabilites XXXIV (Springer-Verlag, 2000), pp. 1--145 [Postscript preprint]
- Recommended (historical):
- Nicolas Bacaër, A Short History of Mathematical Population Dynamics
- To read, big picture:
- Krishna B. Athreya and Peter E. Ney, Branching Processes
- Patsy Haccou, Peter Jagers, and Vladimir A. Vatutin, Branching Processes: Variation, Growth, and Extinction of Populations
- T. E. Harris, Theory of Branching Processes
- To read, close-ups:
- David Assaf, Larry Goldstein and Ester Samuel-Cahn, "An unexpected connection between branching processes and optimal stopping", Journal of Applied Probability 37 (2000): 613--6, math.PR/0510587 [This sounds like a nice pedagogical topic for a course in stochastic processes. I teach a course in stochastic processes....]
- Michael Assaf and Baruch Meerson, "Spectral Theory of Metastability and Extinction in Birth-Death Systems", Physical Review Letters 97 (2006): 200602, cond-mat/0610415
- K. B. Athreya, A.P. Ghosh, S. Sethuraman, "Growth of preferential attachment random graphs via continuous-time branching processes", math.PR/0701649
- Ellen Baake, Hans-Otto Georgii, "Mutation, selection, and ancestry in branching models: a variational approach", q-bio.PE/0611018
- Romulus Breban, Raffaele Vardavas and Sally Blower, "Linking population-level models with growing networks: A class of epidemic models", Physical Review E 72 (2005): 046110
- Conrad J. Burden, Robert C. Griffiths, "The stationary and quasi-stationary properties of neutral multi-type branching process diffusions", arxiv:2107.13197
- Nicolas Champagnat, Régis Ferrière, Sylvie Méléar, "Individual-based probabilistic models of adaptive evolution and various scaling approximations", math.PR/0510453
- Charles R. Doering, Khachik V. Sargsyan and Leonard M. Sander, "Extinction times for birth-death processes: exact results, continuum asymptotics, and the failure of the Fokker-Planck approximation", q-bio/0401016
- Pierre Del Moral, Feynman-Kac Formulae: Genealogical and Interacting Particle Systems
- Dolev Dilmoney, Bnaya Gross, Shlomo Havlin, Nadav M. Shnerb, "Dynamics of critical cascades in interdependent networks", arxiv:2504.06862
- Richard Durrett, Branching Process Models of Cancer
- Janos Englander, "Branching diffusions, superdiffusions and random media", Probability Surveys 4 (2007): 303--364, arxiv:0710.0236
- Vicenc Gomez, Hilbert J. Kappen and Andreas Kaltenbrunner, "Modeling the structure and evolution of discussion cascades", arxiv:1011.0673
- Peter Guttorp, Statistical Inference for Branching Processes
- Jose Luis Iribarren and Esteban Moro, "Branching Dynamics of Viral Information Spreading", Physical Review E 84 (2011): 046116
- P. D. Jarvis, J. D. Bashford and J. G. Sumner, "Path integral formulation of phylogenetic branching processes", q-bio.PE/0411047
- Predrag R. Jelenkovic, Jian Tan, "Modulated Branching Processes, Origins of Power Laws and Queueing Duality", 0709.4297
- Junghyo Jo, Jean-Yves Fortin, M. Y. Choi, "Weibull-type limiting distribution for replicative systems", Physical Review E 83 (2011): 031123, arxiv:1103.3038
- Vadim A. Kaimanovich, Wolfgang Woess, "Limit distributions of branching Markov chains", Annales de l'Institut Henri Poincaré, Probabilités et Statistiques 59 (2023): 1951--1983, arxiv:2205.13615
- Götz Kersting and Vladimir Vatutin, Discrete Time Branching Processes in Random Environment
- P. L. Krapivsky, S. Redner, "Immortal Branching Processes", Physica A 571 (2021): 125853, arxiv:2101.04498
- Jean-Francois Le Gall, Spatial Branching Processes, Random Snakes and Partial Differential Equations
- Brendan P. M. McCabe1, Gael M. Martin, David Harris, "Efficient probabilistic forecasts for counts", Journal of the Royal Statistical Society B 73 (2011): 253--272
- Sylvie Méléard and Denis Villemonais, "Quasi-stationary distributions and population processes", Probability Surveys 9 (2012): 340--410
- Sebastian Müller, "Strong recurrence for branching Markov chains", arxiv:0710.4651
- Fabricio Murai, Bruno Ribeiro, Don Towsley, Krista Gile, "Characterizing Branching Processes from Sampled Data", arxiv:1302.5847
- Victor M. Panaretos, "Partially observed branching processes for stochastic epidemics", Journal of Mathematical Biology 54 (2007): 645--668
- Su-Chan Park, Joachim Krug, Léo Touzo and Peter Mörters, "Branching with Selection and Mutation I: Mutant Fitness of Fréchet Type", Journal of Statistical Physics 190 (2023): 115
- David Sankoff, "Branching Processes with Terminal Types: Application to Context-Free Grammars", Journal of Applied Probability 8 (1971): 233--240
- D. Sornette and S. Utkin, "Limits of declustering methods for disentangling exogenous from endogenous events in time series with foreshocks, main shocks, and aftershocks", Physical Review E 79 (2009): 061110, arxiv:0903.3217
- Miguel González Velasco, Inés M. del Puerto García, and George P. Yanev, Controlled Branching Processes